ELMEC 2020年11月30日 09:58:06
扭转振动,简称为扭振,不同于我们所说的常规振动。除了常规的振动之外,扭振是结构动力学行为的另一种表现形式,通常与其他振动荷载同时出现,也就是说结构发生振动时,除了常规的振动之外,还有可能存在扭转振动。扭振会引起结构疲劳,同时也会引起振动、噪声、舒适性等方面问题。本文主要内容包括:
对于自由的刚体而言,共有6个自由度,即三个平动自由度和三个转动自由度。因此,我们可以把运动自由度分为平动与转动两类。如果用牛顿第二定律来描述,那么,平动对应的是三个加速度,转动对应的是三个角加速度。平动对应的载荷是力,转动对应的载荷是力矩。
我们大多数情况下所讲的机械振动,指的是平动所对应的振动,也称为线振动。而在这里,我们要讨论的扭转振动(简称扭振),指的是旋转部件沿旋转方向的往复圆周运动,也称为角振动,需要注意的是角振动一定是针对旋转结构。在汽车中有诸多的旋转部件,因此,除了考虑线振动之外,还需要考虑角振动。在这通过单自由度系统的线振动和角振动来讨论它们的区别。


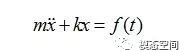
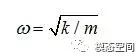
对于弹簧-集中质量(如图1所示)系统而言,它的基本运动(线振动)方程为

其振动圆频率为

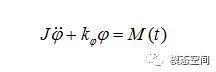
对于单自由度的扭转振动(角运动,见图2),其基本的运动方程为

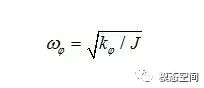
其中J为转动惯量,kφ为抗扭刚度,M(t)为扭矩。角振动对应的扭转频率公式为

从上面两类振动所对应的运动方程可以看出,两类振动的描述参量、振动参量和所受的载荷类型完全不同,如表1所示。相对而言,在大多数情况下,工程领域只考虑线振动,只有少数情况下才考虑角振动,而且考虑角振动时,一定是针对旋转机械,如发动机曲轴、传动轴等旋转部件。

另一方面,从时域信号上来看两类振动的区别。对于常规的线振动,其振动加速度信号都是围绕基线进行波动,如图3所示。而角振动,通常测量角速度更为普通,也就是转速信号,测量得到的时域信号更多情况如图4所示,当然也有转速稳定的情况下的时域信号类似图3所示。从两图可以看出,振动加速度的基线是平直的,而扭振信号的基线不是平直的(如果转速稳定,那么也是平直的)。这时,因为扭振信号是叠加在平均转速之上,关于这一点在下面将有详细介绍。


表征扭转振动的物理振动参量是角位移(或称为角度)、角速度和角加速度。 对于角位移,用α(t)表示,其单位为弧度[rad]或度[˚]。 对于角速度ἁ(t),其单位为弧度/秒[rad/s]或度/秒[˚/s]或者转/分[rpm],角速度与角位移的关系如下

另外,弧度/秒[rad/s]与转/分[rpm]的关系如下

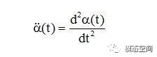
对于角加速度而言,其单位为弧度/秒2[rad/s2]或者度/秒2[˚/s2],它与角位移的关系如下

由于扭振是针对旋转部件而言,从以上表征的物理参量可以看出,最适合且最方便测量的参量是转速rpm。因此,在扭振的实际测量过程中,普遍测量旋转结构的转速信号。

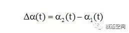
除了测量单个测量截面的转速之外,经常我们会测量旋转轴两个截面处的转速,如图5所示,然后计算它们的相对转速以及相对扭转角。如测量图5中位置1和位置2两个截面处的转速,计算这两个截面处的相对转速和相对扭转角公式如下。
相对转速=rpm位置2- rpm位置1:

相对扭转角=角位移位置2- 角位移位置1 :

另一方面,从扭振所受的载荷来考虑。由于扭振针对的是旋转结构,因此,扭振所受载荷为扭矩。转动的牛顿第二定律为扭矩T等于转动惯量J乘以角加速度ἅ,即

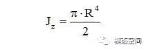
扭矩除了用上式表征之外,也可以用剪应力来表示,即

其中,τ是旋转轴外表面最大的剪应力,Jz是旋转轴的极惯性矩,R是旋转轴的半径。对于圆形截面,其极惯性矩为

对于旋转轴,扭矩也可以通过相对扭转角来计算



我们对扭振进行测量时,最常测量的物理量是转速,得到转速随时间变化曲线,如图6左图所示。初看起来,这个转速-时间曲线比较宽胖,远不如平常我们所见到的单脉冲对应的转速-时间曲线光滑,如图6右图所示。如果我们局部放大(109-110s)左侧的转速信号,会发现转速信号如图7所示,可以看出转速出现了明显的波动,并且是围绕图中的红色曲线进行上下波动。图7中的绿色曲线是图6左图中所对应的多脉冲转速-时间曲线,而红色曲线是图6右图中单脉冲所对应的转速-时间曲线。
从图7中可以看出,对于升速过程,扭振信号不再是稳定增加,而是出现了细微的上下波动。初看图7,似乎与图3所示的振动加速度信号相类似,都是围绕基线上下波动。在这一点上,线振动与角振动是相同的,因为都遵循振动的本质特点:围绕平衡位置(基线)做往复运动(上下波动)。因此,扭振体现在旋转部分的转速波动上。为了将波动的转速测量出来,在测量转速时,要求每转多个脉冲。
图7中红色的转速-时间曲线是每转一个脉冲(单脉冲)所对应的转速,而绿色曲线是每转多个脉冲所对应的转速,正是因为每转存在多个脉冲才能捕捉到波动的转速。我们可以将单脉冲所对应的转速称为平均转速,波动的转速是围绕平均转速上下波动。平均转速所对应的频率成分是0Hz,波动的转速所对应的频率成分是非零成分,因此,平均转速对应信号的DC部分,波动的转速对应信号的AC部分,关于这一点请参考《信号AC与DC的区别》。因此,不同于线振动,扭转振动主要是旋转部件受交变的扭矩作用导致转速出现波动,从而产生扭振现象。
我们知道线振动会引起结构的振动、噪声、舒适性等问题,还可能会引起结构疲劳问题。同样,扭转振动作为结构动力学行为的一个方面,也会引起结构的振动、噪声、舒适性和疲劳问题。并且扭转振动不会单独出现,结构所受到的载荷,包括扭振所受的扭振载荷和“其他”(如线振动)振动载荷会同时出现,因而,结构会同时存在线振动和角振动,这样一来,使得结构的NVH问题更为复杂。

在NVH领域,我们都谈“源-传递路径-接受者”模型,因此,这个模型同样适用于扭转振动,如图8所示。由于结构的共振或反共振效应,源可能在传递过程中被放大或者被衰减。此外,它们可能沿多个不同途径,传递至接收部位,引起相应的NVH与疲劳问题。

线振动存在共振现象,相同地,扭振也存在扭转共振现象。如图9所示的曲轴扭振信号则被弯曲和扭转共振放大了,图中有两个明显的幅值增大区域,这是由于曲轴的弯曲共振和扭转共振所引起的,这两阶模态模型所图10(两阶模态振型)所示。


扭转振动会引起相应的NVH与疲劳问题,比如汽车的扭振会引起一些啮合齿轮的齿与齿面疲劳、弹性联轴器等疲劳。引起方向盘、座椅、踏板振动,从而引起振动舒适性问题。扭振会引起相应的噪声问题,如发动机启停噪声、驱动轴共振引起车内噪声、变速箱齿轮啮合噪声等。另一方面,除了引起NVH和疲劳问题之外,还会降低产品的性能,如降低汽车的燃油经济性等其他方面的问题。因此,对于旋转结构而言,在产品设计阶段同样需要考虑扭振问题。
爱立迈科(宁波)计测仪器有限公司 浙江省宁波市中山东路369号中山首府B-708 URL: www.elmec-gms.com.cn TEL: 0086-0574-8733-7211 Mail: nb_branch@elmec-gms.com.cn